STF310111213DL

FCC ID

Equipment:

Dream Link Limited 310111213DL

Room 1207, Peninsula Centre, 67 Mody Road Tsim Sha Tsui East, KowLoon, N/A N/A Hong Kong

Application
Frequency Range
Final Action Date
Granted
81RwORpNSElZMbo4bPNsAg==
315.145-315.155
2005-02-28
APPROVED
File NameDocument TypeDateDirect
Operational descriptionOperational Description 2005-02-28 00:00:00 pdf
Product FamilyExternal Photos 2005-02-28 00:00:00 native
Test setup emmisionsTest Setup Photos 2005-02-28 00:00:00 pdf
PCB track sideInternal Photos 2005-02-28 00:00:00 pdf
PCB comp sideInternal Photos 2005-02-28 00:00:00 pdf
Rear viewExternal Photos 2005-02-28 00:00:00 pdf
Front viewExternal Photos 2005-02-28 00:00:00 pdf
Test reportTest Report 2005-02-28 00:00:00 pdf
User informationUsers Manual 2005-02-28 00:00:00 jpeg
Circuit diagramSchematics 2005-02-28 00:00:00 pdf
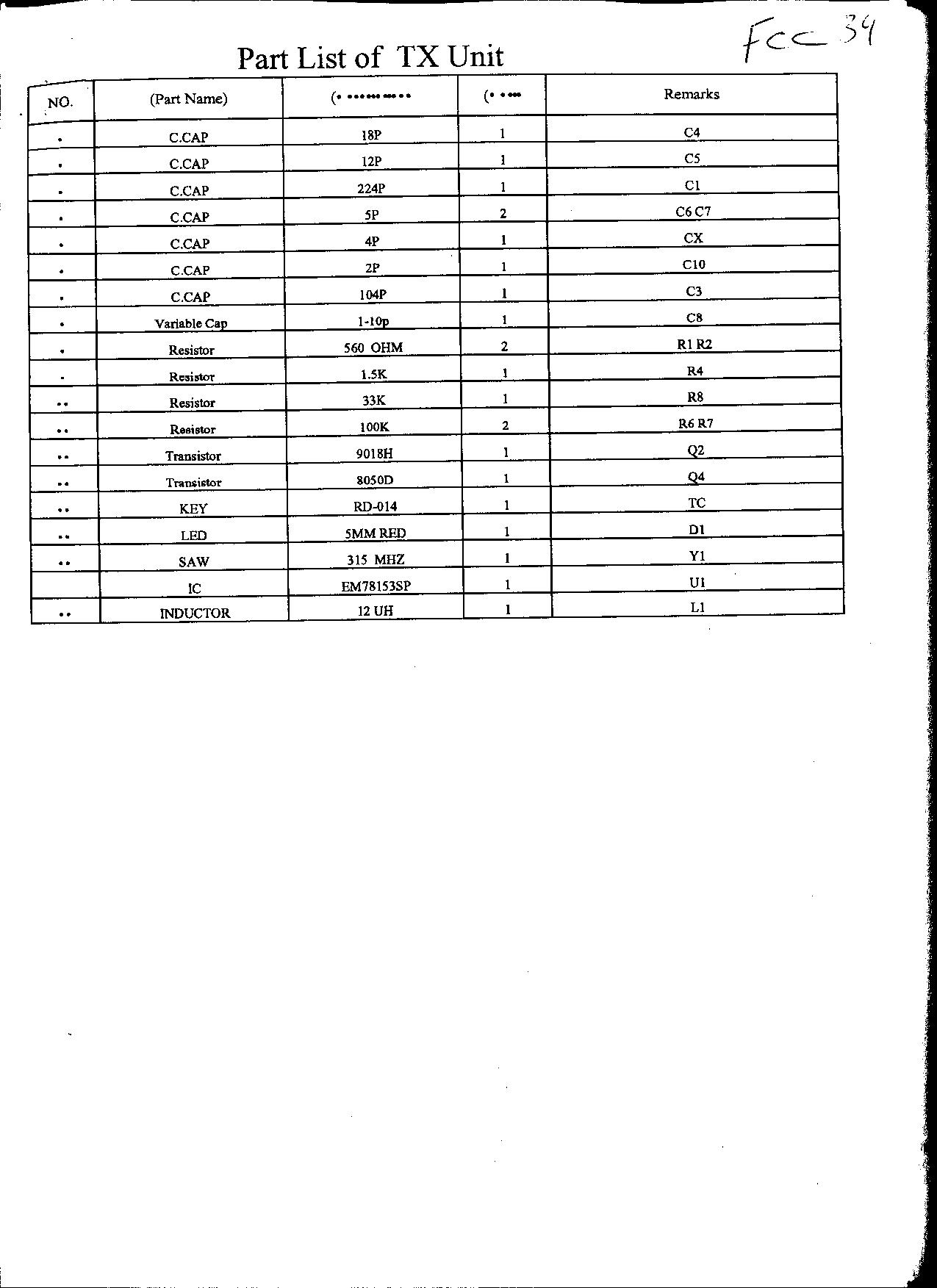
Parts listParts List/Tune Up Info 2005-02-28 00:00:00 native
Drugs declarationAttestation Statements 2005-02-28 00:00:00 pdf
Label location and detailID Label/Location Info 2005-02-28 00:00:00 native
Block DiagramBlock Diagram 2005-02-28 00:00:00 pdf

Application Details:

EquipmentRemote Control Unit for Novelty Toy - GIGLE
FRN0012298956
Grantee CodeSTF
Product Code310111213DL
Applicant BusinessDream Link Limited
Business AddressRoom 1207, Peninsula Centre, 67 Mody Road Tsim Sha Tsui East, KowLoon,N/A Hong Kong
TCB ScopeA1: Low Power Transmitters below 1 GHz (except Spread Spectrum), Unintentional Radiators, EAS (Part 11) & Consumer ISM devices
TCB Email[email protected]
ApplicantNixon Wu – Chief Operations Offcer
Applicant Phone
Applicant Fax852 2505 9916
Applicant Email[email protected]
Applicant MailStop
Test FirmEMC Projects Ltd.
Test Firm ContactMichael Wood
Test Firm Phone
Test Firm Fax44-1425-480637
Test Firm Email[email protected]
Certified ByNixon Wu – Chief Operations Officer

© 2026 FCC.report
This site is not affiliated with or endorsed by the FCC