QKK-C03

FCC ID

Equipment:

Rocky Mountain Radar -C03

6469 Doniphan Drive, El Paso, TX 79932 United States

Application
Frequency Range
Final Action Date
Granted
ZG6s43r3sSrnMZnuQ0tRLw==
10475.0-10575.0
2002-10-21
APPROVED
ZG6s43r3sSrnMZnuQ0tRLw==
24050.0-24250.0
2002-10-21
APPROVED
ZG6s43r3sSrnMZnuQ0tRLw==
33400.0-36000.0
2002-10-21
APPROVED
File NameDocument TypeDateDirect
Users ManualUsers Manual 2002-10-21 00:00:00 pdf
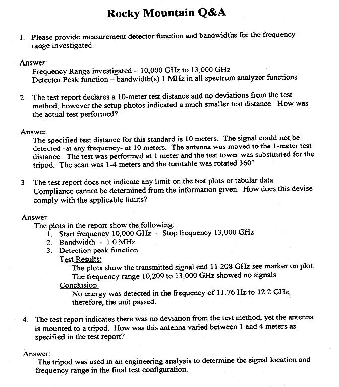
Test Setup PhotosTest Setup Photos 2002-10-21 00:00:00 pdf
TCB Response page 2jpeg 2002-10-21 00:00:00 jpeg
TCB Response page 1jpeg 2002-10-21 00:00:00 jpeg
Test ReportTest Report 2002-10-21 00:00:00 pdf
SchematicsSchematics 2002-10-21 00:00:00 pdf
RF ExposureRF Exposure Info 2002-10-21 00:00:00 pdf
Operational DescriptionOperational Description 2002-10-21 00:00:00 pdf
Internal PhotosInternal Photos 2002-10-21 00:00:00 pdf
LabelID Label/Location Info 2002-10-21 00:00:00 pdf
External PhotosExternal Photos 2002-10-21 00:00:00 pdf
Block DiagramBlock Diagram 2002-10-21 00:00:00 pdf

Application Details:

EquipmentRadar Detector
FRN0013552872
Grantee CodeQKK
Product Code-C03
Applicant BusinessRocky Mountain Radar
Business Address6469 Doniphan Drive , El Paso,Texas United States 79932
TCB ScopeA2: Low Power Transmitters (except Spread Spectrum) and radar detectors operating above 1 GHz
TCB Email[email protected]
ApplicantMichael B Churchman – President
Applicant Phone
Applicant Fax915-587-6408
Applicant Email[email protected]
Applicant MailStop
Test FirmDiversified T.E.S.T. Technologies
Test Firm ContactThomas Sims
Test Firm Phone
Test Firm Fax607-898-4830
Test Firm Email[email protected]
Certified ByMary Ellen Clayton – Report Writer

© 2026 FCC.report
This site is not affiliated with or endorsed by the FCC