JHU105ZZ

FCC ID

Equipment:

Nisshin Industry Co Ltd 105ZZ

3-2-11 Shibukawa-cho, Higashi Osaka City, N/A N/A Japan

Application
Frequency Range
Final Action Date
Granted
kViFJ9DJNYTi7ZPHpcu8bw==
2450.0-2450.0
2000-12-07
APPROVED
Y4UeOrxqt1z1VXjlT27mLw==
2450.0-2450.0
2001-04-23
APPROVED
e7gA7SKZuQ5JqumGQxHdjg==
2400.0-2500.0
2002-12-12
APPROVED
Q5Yl5vyxnA8Lue9Rzs+qvg==
2450.0-2450.0
2003-03-10
APPROVED
m/tEGTK+Xlg84CsnYEhpXA==
2450.0-2450.0
1999-04-21
APPROVED
File NameDocument TypeDateDirect
COVER LETTERCover Letter(s) 2003-03-10 00:00:00 pdf
OVEN 485964jpeg 2003-03-10 00:00:00 jpeg
PCB SCHEMATICjpeg 2003-03-10 00:00:00 jpeg
PCB LAYOUTjpeg 2003-03-10 00:00:00 jpeg
GRANT FOR RECENT PERMISSIVE CHANGE WITH SPECSCover Letter(s) 2003-03-10 00:00:00 pdf
PAGE THIRTYUsers Manual 2003-03-10 00:00:00 jpeg
PAGE ELEVENUsers Manual 2003-03-10 00:00:00 jpeg
PAGE FOURUsers Manual 2003-03-10 00:00:00 jpeg
LABELS LAYOUTjpeg 2003-03-10 00:00:00 jpeg
LABEL Cjpeg 2003-03-10 00:00:00 jpeg
LABEL Bjpeg 2003-03-10 00:00:00 jpeg
LABEL Ajpeg 2003-03-10 00:00:00 jpeg
DOOR OPEN TWOjpeg 2003-03-10 00:00:00 jpeg
DOOR OPEN ONEjpeg 2003-03-10 00:00:00 jpeg
BOTTOM VIEWjpeg 2003-03-10 00:00:00 jpeg
TOP VIEWjpeg 2003-03-10 00:00:00 jpeg
RIGHT SIDE VIEWjpeg 2003-03-10 00:00:00 jpeg
REAR VIEWjpeg 2003-03-10 00:00:00 jpeg
LEFT SIDE VIEWjpeg 2003-03-10 00:00:00 jpeg
FRONT VIEWjpeg 2003-03-10 00:00:00 jpeg
TOSHIBA TEST REPORTTest Report 2003-03-10 00:00:00 pdf
OVEN BLOCK DIAGRAM FOR CISPR 11 NOISE FILTERBlock Diagram 2002-12-12 00:00:00 pdf
RIGHT VIEW NO WRAPPERjpeg 2002-12-12 00:00:00 jpeg
LEFT VIEW NO WRAPPERjpeg 2002-12-12 00:00:00 jpeg
TOP VIEW NO WRAPPERjpeg 2002-12-12 00:00:00 jpeg
CAVITY VIEW WITH GLASS TRAY AND ROLLERjpeg 2002-12-12 00:00:00 jpeg
BUILDING LAYOUTjpeg 2002-12-12 00:00:00 jpeg
EQUIPMENT SETUPjpeg 2002-12-12 00:00:00 jpeg
MANUAL PAGE 30Users Manual 2002-12-12 00:00:00 jpeg
MANUAL PAGE 11Users Manual 2002-12-12 00:00:00 jpeg
MANUAL PAGE 4Users Manual 2002-12-12 00:00:00 jpeg
c LABELjpeg 2002-12-12 00:00:00 jpeg
b LABELjpeg 2002-12-12 00:00:00 jpeg
a LABELjpeg 2002-12-12 00:00:00 jpeg
LABEL LOCATION LAYOUTjpeg 2002-12-12 00:00:00 jpeg
OVEN BLOCK DIAGRAMjpeg 2002-12-12 00:00:00 jpeg
GLASS TRAY AND STIRRER CISPR METHODTest Report 2002-12-12 00:00:00 pdf
STIRRER FCC METHODTest Report 2002-12-12 00:00:00 pdf
GLASS TRAY FCC METHODTest Report 2002-12-12 00:00:00 pdf
COVER LETTER AND FCC EMAIL COPYCover Letter(s) 2002-12-12 00:00:00 pdf
c STIRRER FANjpeg 2002-12-12 00:00:00 jpeg
b STIRRER FANjpeg 2002-12-12 00:00:00 jpeg
a STIRRER FANjpeg 2002-12-12 00:00:00 jpeg
c ROTATING GLASS TRAYjpeg 2002-12-12 00:00:00 jpeg
b ROTATING GLASS TRAYjpeg 2002-12-12 00:00:00 jpeg
a ROTATING GLASS TRAYjpeg 2002-12-12 00:00:00 jpeg
FIG 2 EQUIPMENT SETUPjpeg 2001-04-23 00:00:00 jpeg
FIG 1 BUILDING LAYOUTjpeg 2001-04-23 00:00:00 jpeg
FRONT DOOR OPENjpeg 2001-04-23 00:00:00 jpeg
LEFT SIDEjpeg 2001-04-23 00:00:00 jpeg
RIGHT SIDEjpeg 2001-04-23 00:00:00 jpeg
LETTER TO FCC OETCover Letter(s) 2001-04-23 00:00:00 pdf
TOPjpeg 2001-04-23 00:00:00 jpeg
USER MANUAL P30Users Manual 2001-04-23 00:00:00 jpeg
USER MANUAL P11Users Manual 2001-04-23 00:00:00 jpeg
USER MANUAL P4Users Manual 2001-04-23 00:00:00 jpeg
TEST REPORTTest Report 2001-04-23 00:00:00 pdf
ORIGINAL GRANTjpeg 2001-04-23 00:00:00 jpeg
PCB DESIGNjpeg 2001-04-23 00:00:00 jpeg
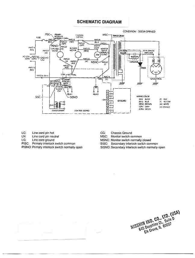
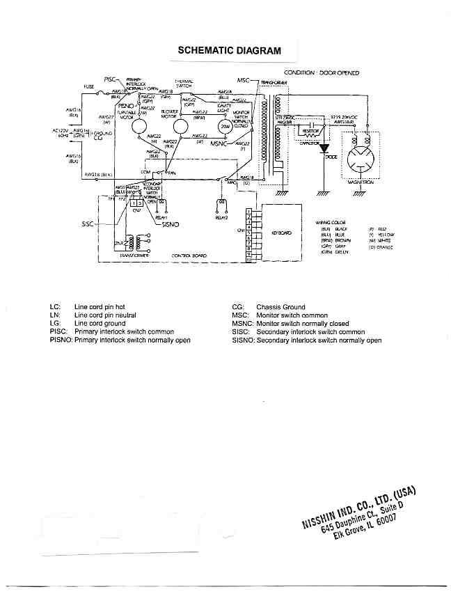
SCHEMATIC MWOjpeg 2001-04-23 00:00:00 jpeg
SCHEMATIC PCBjpeg 2001-04-23 00:00:00 jpeg
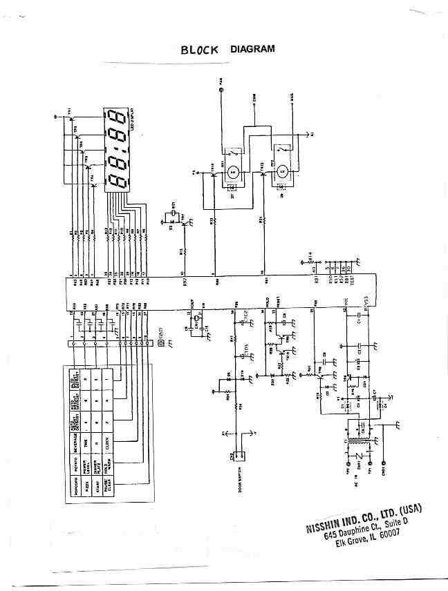
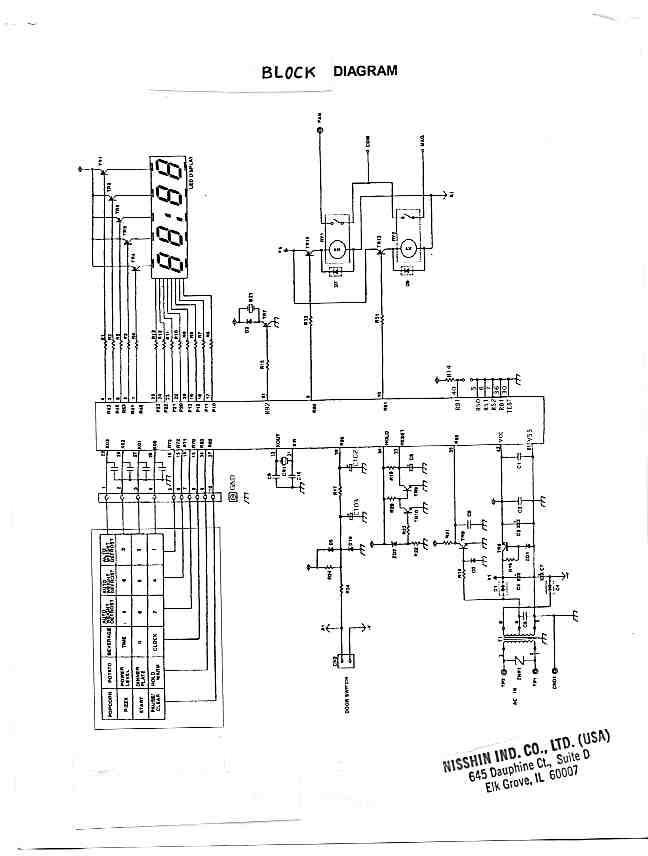
BLOCK DIAGRAM MWOjpeg 2001-04-23 00:00:00 jpeg
BLOCK DIAGRAM PCBjpeg 2001-04-23 00:00:00 jpeg
LABEL Cjpeg 2001-04-23 00:00:00 jpeg
LABEL Bjpeg 2001-04-23 00:00:00 jpeg
LABEL Ajpeg 2001-04-23 00:00:00 jpeg
LABEL LOCATION DRAWINGjpeg 2001-04-23 00:00:00 jpeg
DOOR OPEN TRAY AND ROLLER VERTICALInternal Photos 2000-12-07 00:00:00 jpeg
DOOR OPEN AND TRAY IN PLACEInternal Photos 2000-12-07 00:00:00 jpeg
TEST REPORT P11Test Report 2000-12-07 00:00:00 jpeg
TEST REPORT P10Test Report 2000-12-07 00:00:00 jpeg
TEST REPORT P9Test Report 2000-12-07 00:00:00 jpeg
TEST REPORT P8Test Report 2000-12-07 00:00:00 jpeg
TEST REPORT P7Test Report 2000-12-07 00:00:00 jpeg
TEST REPORT P6Test Report 2000-12-07 00:00:00 jpeg
TEST REPORT P5Test Report 2000-12-07 00:00:00 jpeg
TEST REPORT P4Test Report 2000-12-07 00:00:00 jpeg
TEST REPORT P3Test Report 2000-12-07 00:00:00 jpeg
TEST REPORT P2Test Report 2000-12-07 00:00:00 jpeg
TEST REPORT P1Test Report 2000-12-07 00:00:00 jpeg
LG CERTIFICATETest Report 2000-12-07 00:00:00 jpeg
OWNERS MANUAL P30Users Manual 2000-12-07 00:00:00 jpeg
OWNERS MANUAL P11Users Manual 2000-12-07 00:00:00 jpeg
OWNERS MANUAL P4Users Manual 2000-12-07 00:00:00 jpeg
LABEL LOCATION DWGID Label/Location Info 2000-12-07 00:00:00 jpeg
8Users Manual 1999-04-21 00:00:00 pdf
5Schematics 1999-04-21 00:00:00 pdf
6Test Report 1999-04-21 00:00:00 pdf
9Internal Photos 1999-04-21 00:00:00 pdf
3External Photos 1999-04-21 00:00:00 pdf
1ID Label/Location Info 1999-04-21 00:00:00 pdf
13Cover Letter(s) 1999-04-21 00:00:00 N/A

Application Details:

EquipmentMICROWAVE OVEN-COMMERCIAL
FRN0004059564
Grantee CodeJHU
Product Code105ZZ
Applicant BusinessNisshin Industry Co Ltd
Business Address3-2-11 Shibukawa-cho , Higashi Osaka City,N/A Japan
TCB Scope
TCB Email
ApplicantHideo Tokuyama – Executive Director
Applicant Phone
Applicant Fax81 06 981-6623
Applicant Email[email protected]
Applicant MailStop
Test Firm
Test Firm Contact
Test Firm Phone
Test Firm Fax
Test Firm Email
Certified ByTHOMAS L. FARINA – PRESIDENT

© 2026 FCC.report
This site is not affiliated with or endorsed by the FCC