Toggle navigation
FCC.report
IBFS
ELS
FCC ID
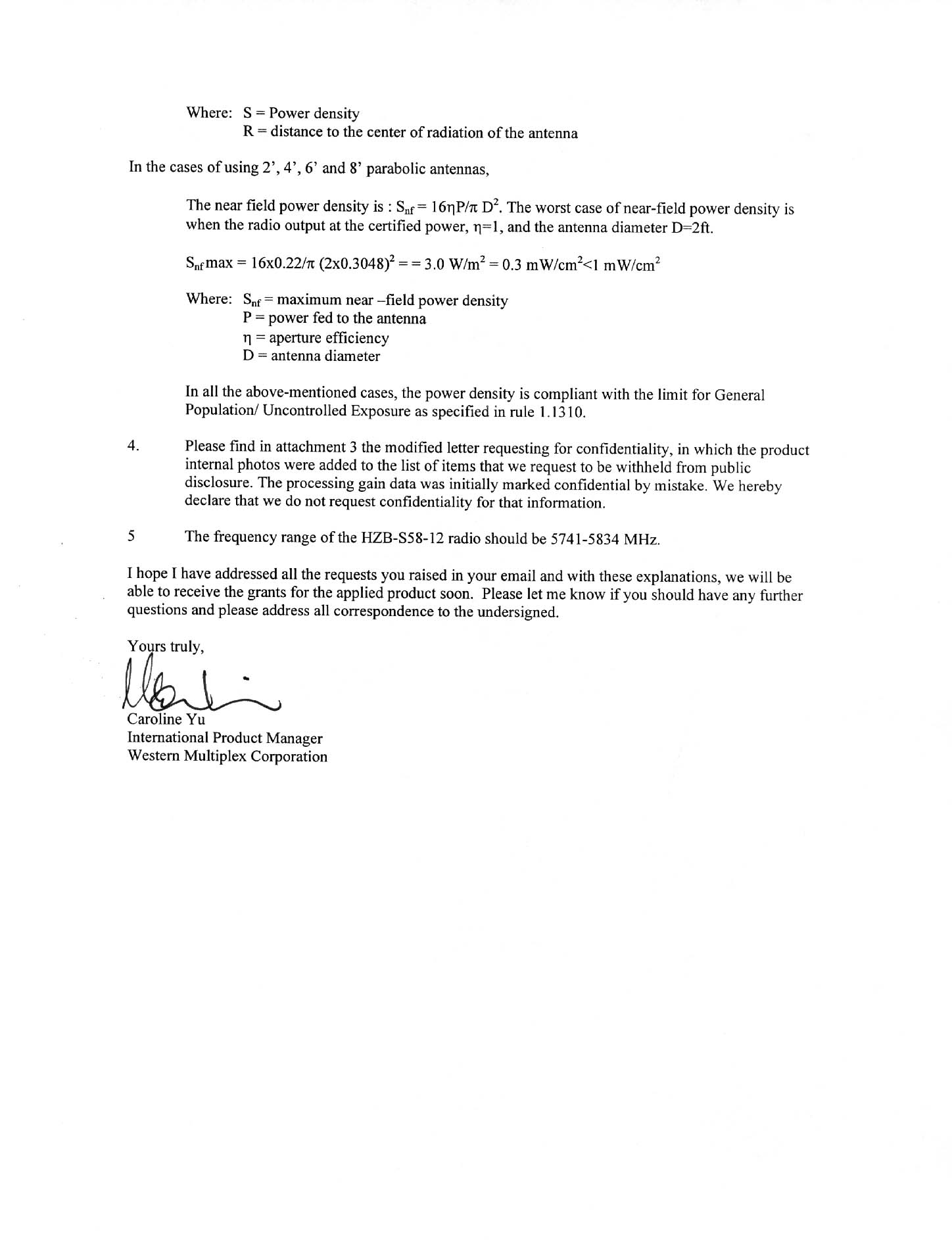
Contact
About
HZBS5812
FCC ID
Equipment:
Proxim Wireless Corporation S5812
47633 Westinghouse Drive, Fremont, CA 94539 United States
FCC.report
›
FCC ID
›
Proxim Wireless Corporation
›
HZBS5812
Application
Frequency Range
Final Action Date
Granted
KmeVQZ1fjCeSCIxJrKFBvw==
5741.0-5834.0
2000-02-15
APPROVED
File Name
Document Type
Date
Direct
Updated Manual Page
Users Manual
2000-02-15 00:00:00
jpeg
Response to request 12095
Cover Letter(s)
2000-02-15 00:00:00
pdf
Response to Request 11532
Cover Letter(s)
2000-02-15 00:00:00
pdf
Modified request letter for confidentiality
Cover Letter(s)
2000-02-15 00:00:00
jpeg
Withdrawal of confidentiality request
Cover Letter(s)
2000-02-15 00:00:00
jpeg
Reply to request 10789 Attachment 4
Users Manual
2000-02-15 00:00:00
pdf
Reply to request 10789 Attachment 3
Cover Letter(s)
2000-02-15 00:00:00
pdf
Reply to request 10789 Attachment 2
Cover Letter(s)
2000-02-15 00:00:00
pdf
Reply to request 10789 Page 2
Cover Letter(s)
2000-02-15 00:00:00
jpeg
Reply to request 10789 Page 1
Cover Letter(s)
2000-02-15 00:00:00
jpeg
Please correct FCC ID
Cover Letter(s)
2000-02-15 00:00:00
pdf
Confidentiality Letter
Cover Letter(s)
2000-02-15 00:00:00
pdf
Authorization Letter
Cover Letter(s)
2000-02-15 00:00:00
pdf
Explanation of attached exhibits
Cover Letter(s)
2000-02-15 00:00:00
pdf
RF
Internal Photos
2000-02-15 00:00:00
jpeg
Internal view
Internal Photos
2000-02-15 00:00:00
jpeg
Port
Internal Photos
2000-02-15 00:00:00
jpeg
internal bottom
Internal Photos
2000-02-15 00:00:00
jpeg
face plate
External Photos
2000-02-15 00:00:00
jpeg
back of circuit board
Internal Photos
2000-02-15 00:00:00
jpeg
circuit board
Internal Photos
2000-02-15 00:00:00
jpeg
outside bottom
External Photos
2000-02-15 00:00:00
jpeg
user manual
Users Manual
2000-02-15 00:00:00
pdf
cover letter for user manual (entire manual)
Cover Letter(s)
2000-02-15 00:00:00
pdf
Label artwork
ID Label/Location Info
2000-02-15 00:00:00
pdf
processing gain chart
Operational Description
2000-02-15 00:00:00
pdf
processing gain data
Operational Description
2000-02-15 00:00:00
pdf
specs for antenna install
Attestation Statements
2000-02-15 00:00:00
pdf
processing gain notes
Operational Description
2000-02-15 00:00:00
pdf
Antenna Install
Attestation Statements
2000-02-15 00:00:00
pdf
label location
ID Label/Location Info
2000-02-15 00:00:00
jpeg
test report with setup photos
Test Report
2000-02-15 00:00:00
pdf
Block diagram
Block Diagram
N/A
Reply to request 10789 Attachment 1
Cover Letter(s)
N/A
Schematics
Schematics
N/A
Theory of Operation
Operational Description
N/A
Application Details:
Equipment
FRN
0005850607
Grantee Code
HZB
Product Code
-S58-12
Applicant Business
Proxim Wireless Corporation
Business Address
47633 Westinghouse Drive , Fremont,California United States 94539
TCB Scope
TCB Email
Applicant
Cor van de Water – Sr. Regulatory and Compliance Manager
Applicant Phone
Applicant Fax
408 383 7680
Applicant Email
[email protected]
Applicant MailStop
Test Firm
Intertek Testing Services NA Inc.
Test Firm Contact
John Quigley
Test Firm Phone
Test Firm Fax
650-463-2910
Test Firm Email
[email protected]
Certified By
David Chernomordik – EMC Site Manager
© 2026 FCC.report
This site is not affiliated with or endorsed by the FCC