F9CC1C-3

FCC ID

Equipment:

Schlumberger Sema C1C-3

313 North Highway 11, West Union, SC 29696 United States

Application
Frequency Range
Final Action Date
Granted
6df+D7TlRiWcIgwQ3vpZOw==
917.58-917.58
2002-05-01
APPROVED
File NameDocument TypeDateDirect
communications summaryCover Letter(s) 2002-05-01 00:00:00 pdf
request for confidentialityCover Letter(s) 2002-05-01 00:00:00 pdf
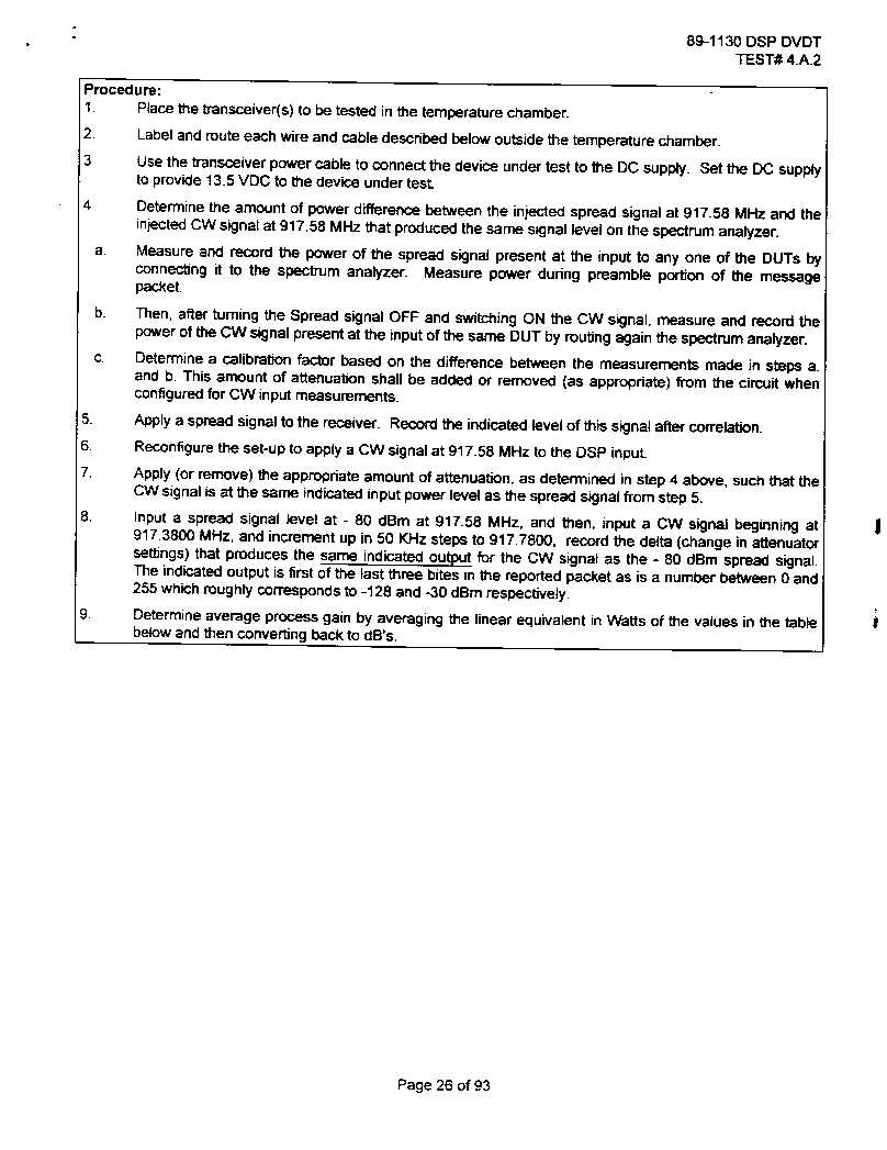
processing gain 4jpeg 2002-05-01 00:00:00 jpeg
processing gain 3jpeg 2002-05-01 00:00:00 jpeg
processing gain 2jpeg 2002-05-01 00:00:00 jpeg
processing gain 1jpeg 2002-05-01 00:00:00 jpeg
users manual letterUsers Manual 2002-05-01 00:00:00 pdf
technical reference guideUsers Manual 2002-05-01 00:00:00 pdf
users manualUsers Manual 2002-05-01 00:00:00 pdf
test setup photosTest Setup Photos 2002-05-01 00:00:00 pdf
test report 2Test Report 2002-05-01 00:00:00 pdf
test report 1Test Report 2002-05-01 00:00:00 pdf
internal photosInternal Photos 2002-05-01 00:00:00 pdf
label sample and locationID Label/Location Info 2002-05-01 00:00:00 pdf
external photosExternal Photos 2002-05-01 00:00:00 pdf
block diagramBlock Diagram N/A
operational descriptionOperational Description N/A
schematicsSchematics N/A

Application Details:

EquipmentWireless Power Meter
FRN0006329973
Grantee CodeF9C
Product CodeC1C-3
Applicant BusinessSchlumberger Sema
Business Address313 North Highway 11 , West Union,South Carolina United States 29696
TCB ScopeA4: UNII devices & low power transmitters using spread spectrum techniques
TCB Email[email protected]
ApplicantLee Littlejohn – Compliance Engineer
Applicant Phone
Applicant Fax864-638-4900
Applicant Email[email protected]
Applicant MailStop
Test FirmAdvanced Compliance Solutions, Inc.
Test Firm ContactSam Wismer
Test Firm Phone
Test Firm Fax770-831-8598
Test Firm Email[email protected]
Certified ByJerom Bartier – Associate Design Eng

© 2026 FCC.report
This site is not affiliated with or endorsed by the FCC